Kecepatan Orbit Elips
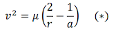
Benda langit bermassa m yang mengorbit benda bermassa M dengan orbit elips memiliki kecepatan orbit yang dinyatakan sebagai:
dengan:
Persamaan (*) ini pernah kita bahas juga dalam artikel Melihat Perubahan Kecepatan Orbit Elips dari Hukum II Kepler. Jarak benda bermassa m ke benda bermassa M dinotasikan sebagai r. Perlu diingat bahwa nilai r selalu berubah selama benda bermassa m mengorbit benda bermassa M. Nilai maksimumnya adalah jarak aphelium (rap) dan nilai minimumnya adalah jarak perihelium (rp). Sedangkan jarak rata-rata orbit antara jarak perihelium dan aphelium ini yang dinotasikan sebagai a, yang disebut juga sebagai setengah sumbu panjang orbit (lihat juga pembahasan pada artikel Geometri Orbit Elips Benda Langit). Sebagai perbandingan, dengan konteks yang sama, untuk orbit lingkaran, jarak benda bermassa m akan selalu tetap selama mengorbit benda bermassa M. Dengan demikian, untuk kasus orbit lingkaran, nilai r akan selalu sama dengan nilai a. Sedangkan untuk kasus orbit elips, nilai r tidak selalu sama dengan nilai a.
Seperti yang telah dijelaskan dalam artikel Melihat Perubahan Kecepatan Orbit Elips dari Hukum II Kepler, dari persamaan (*) kita dapat menuliskan kecepatan orbit elips saat di perihelium (vp) dan aphelium (vap) masing-masing secara matematis, yaitu:
Perbandingan Kecepatan Orbit Elips
Karna nilai r pada orbit elips selalu berubah, maka kecepatan orbitnya pun akan selalu berubah untuk nilai r tertentu. Kita telah mengetahui bahwa dalam orbit elips ada jarak perihelium (rp) dan jarak aphelium (rap), maka kecepatan orbit pada kedua jarak tersebut juga akan berbeda. Pada artikel Melihat Perubahan Kecepatan Orbit Elips dari Hukum II Kepler, kita telah menunjukkan bahwa perbandingan kecepatan orbit saat di perihelium dan aphelium adalah:
dengan e adalah eksentrisitas orbit. Tentunya kecepatan orbit saat di perihelium lebih besar daripada kecepatan orbit saat di aphelium. Sebagai perbandingan, dari persamaan (**), untuk orbit lingkaran, e = 0, maka kita dapat mengetahui bahwa vp = vap. Hal ini menunjukkan bahwa dalam orbit lingkaran, nilai kecepatan orbit akan selalu sama di manapun benda itu berada di sepanjang di orbitnya.
Energi Sistem pada Orbit Elips
Sekarang kita akan meninjau energi pada sistem dua benda dalam orbit elips. Untuk kasus benda bermassa m mengorbit benda bermassa M dengan jarak r dan kecepatan orbit v, jika tidak ada gangguan eksternal, maka sistem dua benda tersebut akan memenuhi hukum kekekalan energi yang dapat dinyatakan sebagai:
dengan C adalah konstanta yang menyatakan bahwa total antara energi kinetik orbit (Ek) dan energi potensial orbit (Ep) selalu tetap.
Saat benda bermassa m berada pada jarak periheliumnya (rp), maka persamaan (***) dapat diubah menjadi:
Sedangkan saat benda bermassa m berada pada jarak apheliumnya (rap), maka persamaan (***) juga dapat diubah menjadi:
Meskipun benda tersebut berada pada jarak yang berubah-ubah, kecepatan orbit juga akan berubah. Demikian juga dengan energi kinetik orbit dan energi potensial orbit benda akan selalu berubah, namun total energi keduanya akan selalu sama. Dengan demikian, benda bermassa m dalam orbit elips akan selalu memenuhi hukum kekekalan energi.
Penurunan Persamaan Kecepatan Orbit Elips
Jika kita lakukan eliminasi antara persamaan (***) dan (p1), maka didapatkan:
Kemudian substitusi persamaan (c1) ke persamaan di atas untuk menghilangkan vp, maka didapatkan:
Dari artikel Geometri Orbit Elips Benda Langit, kita mengetahui bahwa:
Maka, persamaan di atas dapat dituliskan kembali menjadi:
Ini adalah persamaan orbit elips yang telah kita tuliskan di awal pembahasan, lihat persamaan (*). Persamaan ini juga bisa didapatkan dengan cara melakukan eliminasi antara persamaan (***) dan (p2), kemudian lakukan substitusi persamaan (c2) ke dalamnya untuk menghilang vap. Nilai r pada persamaan kecepatan orbit elips di atas dapat dihitung melalui persamaan Hukum I Kepler (lihat Geometri Orbit Elips Benda Langit), yaitu:
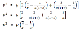
Karena dari awal kita selalu membandingkan pembahasan orbit elips dengan orbit lingkaran, maka sekarang kita akan coba tunjukkan bahwa dari persamaan kecepatan orbit elips kita bisa memperoleh persamaan kecepatan orbit lingkaran yang berupa:
Ingat bahwa nilai r dan a akan sama dalam orbit lingkaran. Seperti yang telah dijelaskan dalam artikel Geometri Orbit Elips Benda Langit, nilai e = 0 untuk orbit lingkaran. Maka, persamaan (s1) akan menjadi:
Dari persaman (s2) di atas, seperti yang telah dijelaskan sebelumnya, bahwa nilai r selalu sama dengan a untuk orbit lingkaran. Kemudian kita substitusi persamaan (s2) ini ke dalam persamaan kecepatan orbit elips, yaitu persamaan (*), maka didapatkan:
Dari sini kita dapat melihat bahwa persamaan kecepatan orbit elips sebenarnya adalah persamaan kecepatan orbit yang umum, karena bergantung dengan nilai eksentrisitas. Sehingga kita dapat menggunakan persamaan (*) untuk menghitung kecepatan objek pada orbit yang beragam.













Komentar
Posting Komentar